共分散とは
共分散は、2つの変数がどのように連動して変化するかを示す統計量です。
正の値なら同じ方向に変化しやすく、負の値なら逆方向に変化しやすいことを意味します。
計算式
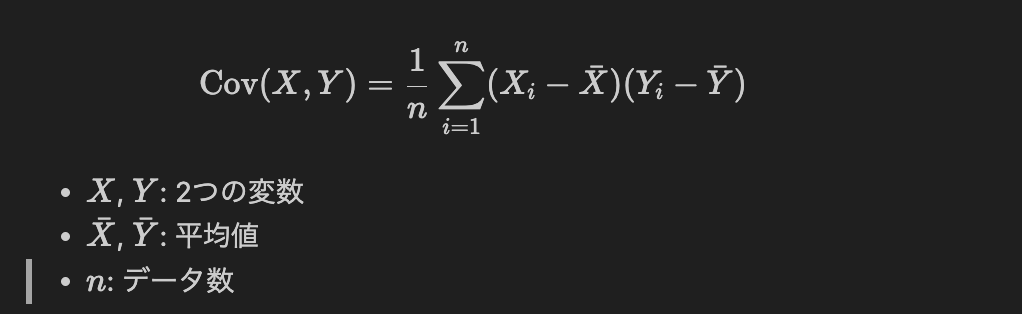
共分散は次の式で計算されます:

ポイント
- 共分散が 0 に近い場合、2つの変数に強い関係はないと考えられます。
- 値がスケールに依存するため、相関係数を使うことが一般的です。
Pythonでの例
以下は、Pythonを使った共分散の計算例です。
| |
実行結果
| |
共分散と相関係数の違い
| 特徴 | 共分散 | 相関係数 |
|---|---|---|
| スケール依存 | あり | なし |
| 値の範囲 | -∞ から ∞ | -1 から 1\ |
まとめ
共分散は、2つの変数の関係性を理解するための基本的な指標です。
ただし、スケール依存性があるため、相関係数と併用することでより深い分析が可能です。